• Предмет: Алгебра
  • Автор: Ablai97
  • Вопрос задан 10 лет назад

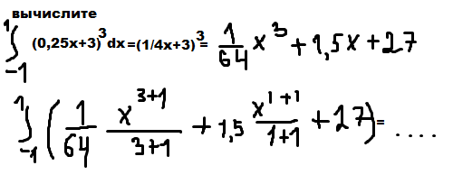
решите..............

Приложения:

Ответы

Ответ дал: Artem112
0
 intlimits^1_{-1} {(0.25x+3)^3} , dx = intlimits^1_{-1} { frac{1}{64}x^3+ frac{9}{16}x^2+ frac{27}{4}x+27   } , dx = 
\
=(frac{x^4}{4cdot 64}+ frac{9x^3}{3cdot16}+ frac{27x^2}{2cdot4}+27x)|^1_{-1}=
\
=(frac{1^4}{256}+ frac{9cdot1^3}{48}+ frac{27cdot1^2}{8}+27)-(frac{(-1)^4}{256}+ frac{9cdot(-1)^3}{48}+ frac{27cdot(-1)^2}{8}+27cdot(-1))=
\
=frac{1}{256}+ frac{9}{48}+ frac{27}{8}+27-frac{1}{256}+ frac{9}{48}-frac{27}{8}+27=
 frac{18}{48}+54=54 frac{3}{8}
Вас заинтересует