• Предмет: Алгебра
  • Автор: EmmaSwan98
  • Вопрос задан 10 лет назад

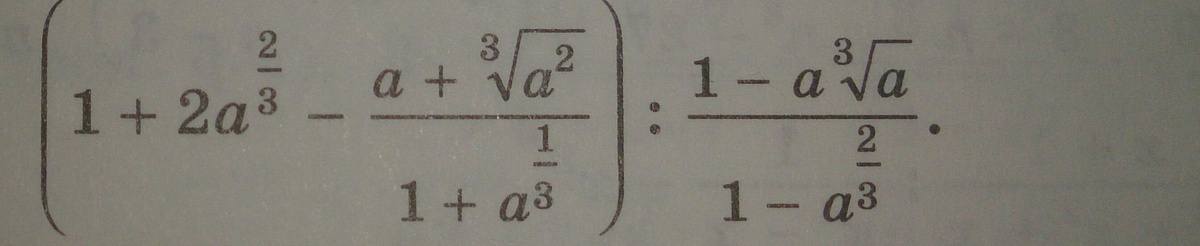
помогите, пожалуйста :с
не получается решить правильно.
ответ должен получиться 1.

Приложения:

Ответы

Ответ дал: karmelita1953
0


Выполняем действия в скобках: приводим к общему знаменателю, получаем дробь числитель:1+ав степени1/3+2ав степени2/3+2а-а-а в степени2/3=1+а в степени2/3+а+а в степени1/3, группируем(1+а^1/3)+a^2/3(1+a^1/3)=(1+a^1/3)*(1+a^2/3)

знаменатель( 1+a^1/3) сокращаем и получим 1+а^2/3.

выполняем 2-е действие( 1+а^2/3)*на дробь получаем в числителе (1+а^1/3)(1+а^2/3)=1-a^4/3знаменатель такой же(1-a^4/3)=1

Ответ дал: EmmaSwan98
0
спасибо огромное, очень благодарна ^^
Ответ дал: karmelita1953
0
Разобралась? Я не могу писать здесь дроби, поэтому писала словами
Ответ дал: EmmaSwan98
0
да, разобралась) Оказывается, так просто) Еще раз спасибо)
Вас заинтересует