• Предмет: Математика
  • Автор: tarantino2014
  • Вопрос задан 10 лет назад

нужно решить, желательно с решением

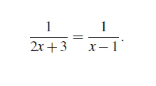
Приложения:

Ответы

Ответ дал: Nina200
0
у равных дробей числители равны, значит равны и знаменатели 2х+3=х-1
2х-х=-1-3, х=-4
Ответ дал: isom
0
(х-1)-(2х+3)/(2х+3)(х-1)=0
(-х-4)/(2х+3)(х-1)=0
-х-4=0
х=-4
Вас заинтересует