• Предмет: Алгебра
  • Автор: lizinochka
  • Вопрос задан 11 лет назад

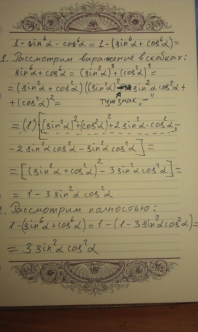
Как из  1-Sin⁶α-Cos⁶α получили Sin²αCos²α(подробно распишите)

Ответы

Ответ дал: Vopoxov
0

у меня получилось такое выражение:

3ышт3 sin^2a  cos^2a

Приложения:
Ответ дал: Гоша68
0

1-(sin^6a+cos^6a)=1-(sin^2a+cos^2a)(sin^4a+cos^4a-sin^2acos^2a)=

=1-(sin^4a+cos^4a-sin^2acos^2a)=1-(sin^2a+cos^2a)^2-3sin^2acos^2a)=

=1-(1-3sin^2acos^2a)=3sin^2acos^2a

Приложения:
Вас заинтересует