• Предмет: Алгебра
  • Автор: gorynich
  • Вопрос задан 10 лет назад

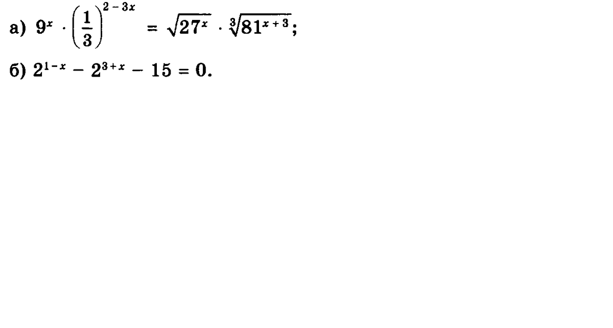
Решите уравнение , с подробным решением

Приложения:

Ответы

Ответ дал: red321
0
9^x*(frac{1}{3})^{2-3x}=sqrt{27^x}*sqrt[3]{81^{x+3}}\(3^2)^x*(3^{-1})^{2-3x}=((3^3)^x)^frac{1}{2}*((3^4)^{x+3})^frac{1}{3}\3^{2x}*3^{3x-2}=3^{frac{3x}{2}}*3^{frac{4(x+3)}{3}}\3^{2x+3x-2}=3^{frac{3x}{2}+frac{4(x+3)}{3}}\5x-2=frac{3x}{2}+frac{4(x+3)}{3}       |*6\30x-12=9x+8x+24\13x=36\x=frac{36}{13}



2^{1-x}-2^{3+x}-15=0\2^1*2^{-x}-2^3*2^x-15=0\frac{2}{2^x}-8*2^x-15=0\\2^x=t, t>0\frac{2}{t}-8t-15=0        |*t\2-8t^2-15t=0\8t^2+15t-2=0\D=225+64=289=17^2\t_1=frac{-15+17}{16}=frac{2}{16}=frac{1}{8}\t_2=frac{-15-17}{16}=-frac{32}{16}=-2
t₂∉t>0

2^x=frac{1}{8}\2^x=2^{-3}\x=-3
Вас заинтересует