• Предмет: Геометрия
  • Автор: boldackina
  • Вопрос задан 11 лет назад

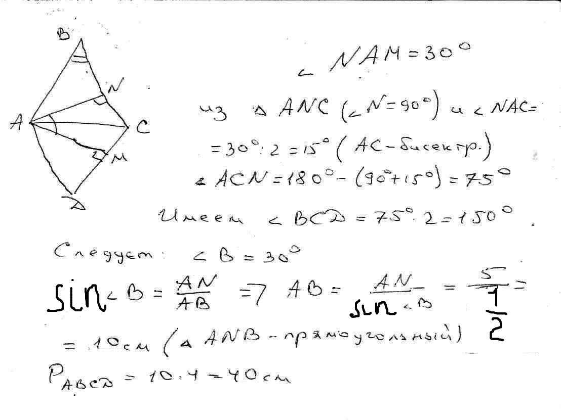
Угол между высотами ромба, проведенными из одной из его вершин равен 30 градусов.Высота ромба 5 сантиметров.Найдите периметр ромба.

Ответы

Ответ дал: marat2281337
0

Смотри в прикрепленном файле.

Приложения:
Вас заинтересует