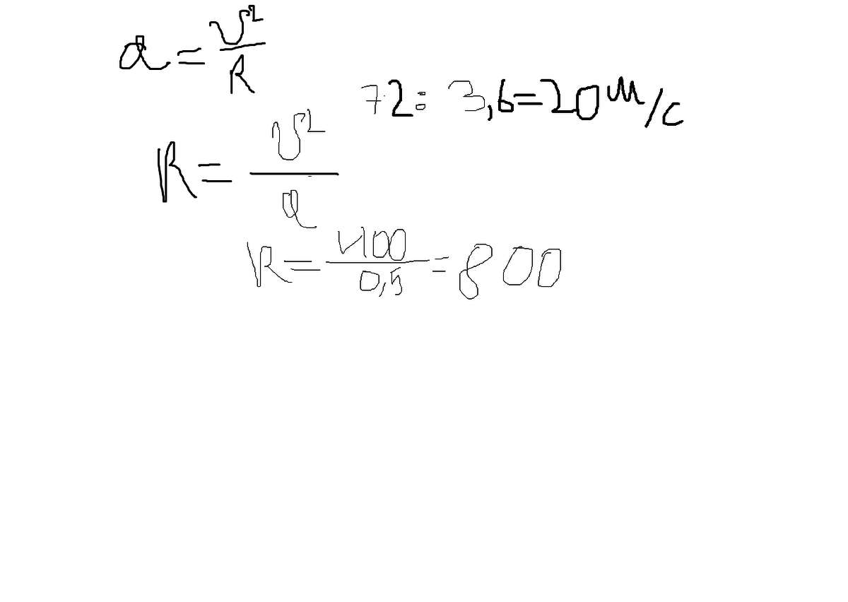
Поезд движется со скоростью 72км/ч по закруглению дороги. Определите радиус дуги, если центростремительное ускорение поезда равно 0,5м/с2
Ответы
Ответ дал:
0
от так думаюю надо решать
Приложения:
Вас заинтересует
3 года назад
3 года назад
8 лет назад
10 лет назад
10 лет назад
11 лет назад
11 лет назад