• Предмет: Алгебра
  • Автор: NatashaTh
  • Вопрос задан 10 лет назад

Решите уравнение: cos2x=корень из 2/ - 2

Ответы

Ответ дал: Anastsiia
0
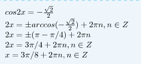
cos2x=- frac{ sqrt{2} }{2} \ 2x=pm arccos (- frac{ sqrt{2} }{2}) +2 pi n, nin Z \ 2x=pm ( pi - pi /4)+2 pi n \ 2x=3 pi /4+2 pi n, nin Z \ x=3 pi /8+2 pi n, nin Z
Приложения:
Вас заинтересует