Ответы
Ответ дал:
0
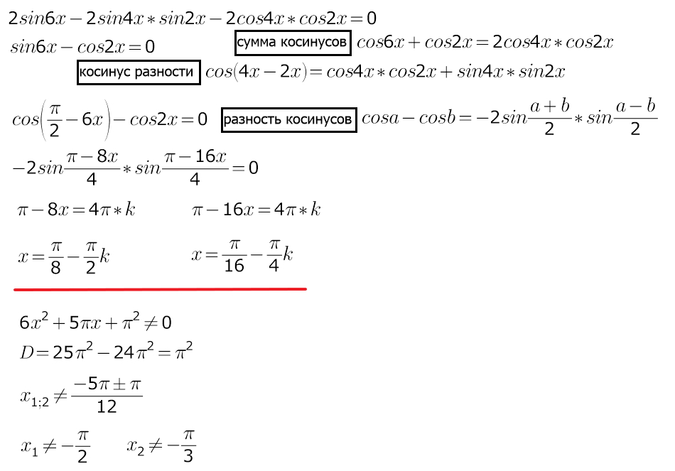
знаменатели одинаковые...
получим дробь, равную разности дробей)))
она равна 0, когда числитель=0, знаменатель не равен 0...
ни при каких целых k значения, исключенные знаменателем в решение не попадают...
получим дробь, равную разности дробей)))
она равна 0, когда числитель=0, знаменатель не равен 0...
ни при каких целых k значения, исключенные знаменателем в решение не попадают...
Приложения:

Вас заинтересует
2 года назад
7 лет назад
7 лет назад
10 лет назад
10 лет назад
10 лет назад