• Предмет: Физика
  • Автор: 45001
  • Вопрос задан 11 лет назад

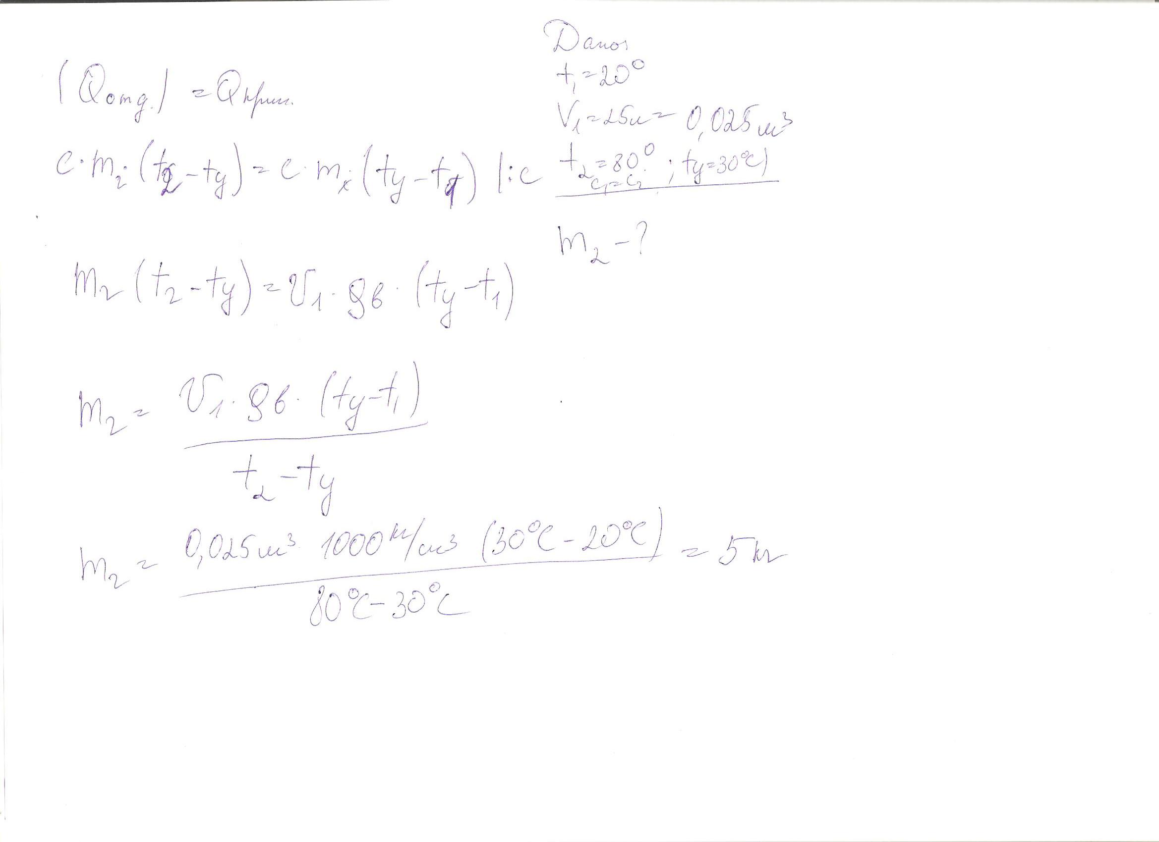
В сосуд налили 25 литров воды при температуре 20 градусов.Чему равна масса горячей воды при температуре 80 градусов, которую можно долить в сосуд, чтобы в нем установилась температура 30 градусов

Ответы

Ответ дал: Help0me
0

там можно поделить на с - т.к. одно вещество - вода.

в ответе получается 5 кг, смотри листочек, вроде все понятно)

 

Приложения:
Вас заинтересует