Ответы
Ответ дал:
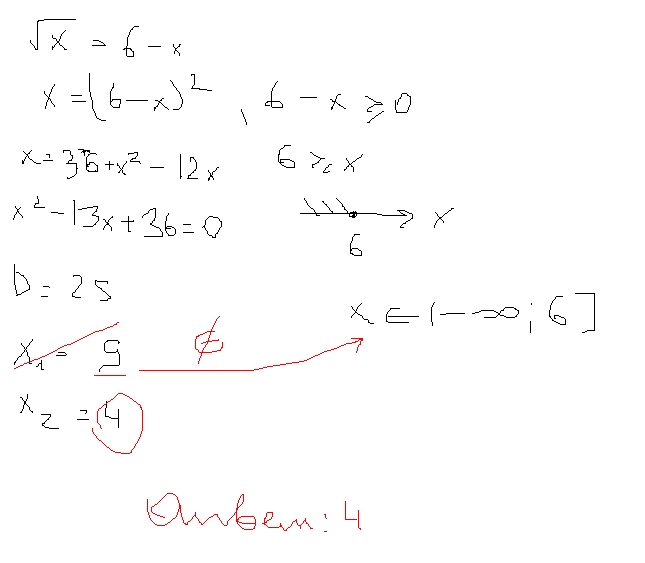
0
.........................................................................................
Приложения:

Вас заинтересует
2 года назад
10 лет назад
10 лет назад