• Предмет: Алгебра
  • Автор: Yanalul
  • Вопрос задан 10 лет назад

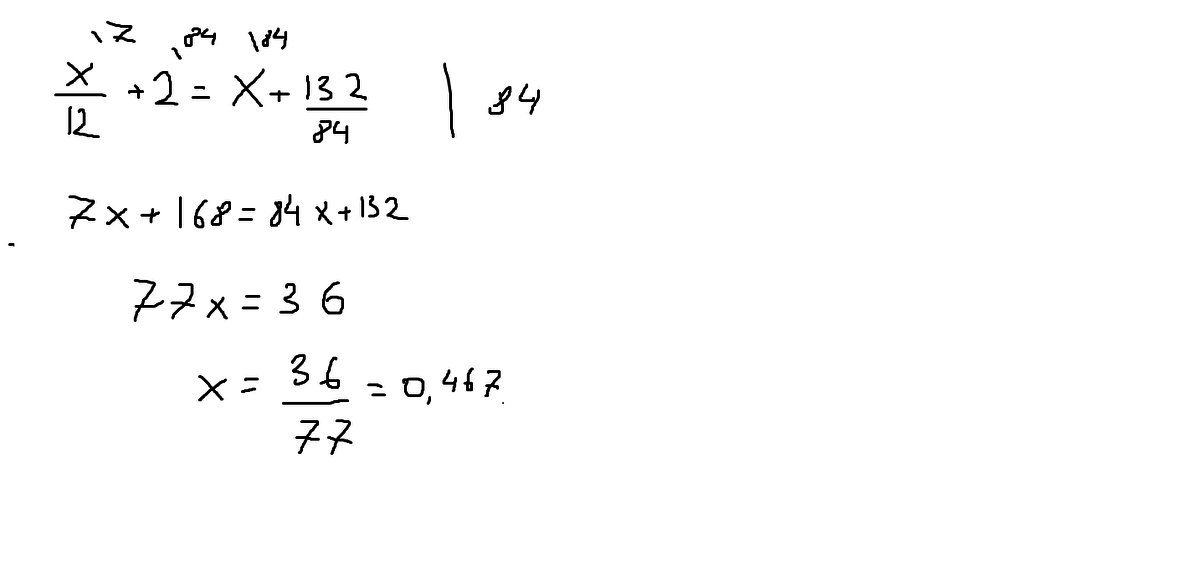
X/12+2=Х+132/84-найдите корень уравнения
Ребята умоляю помогите:(

Ответы

Ответ дал: zhtifq
0
Картинка.Готовое решение.
Приложения:
Ответ дал: Yanalul
0
Это точно правильно?
Ответ дал: zhtifq
0
Извини,если что-то не так устал.
Вас заинтересует