• Предмет: Алгебра
  • Автор: magidov1998
  • Вопрос задан 10 лет назад

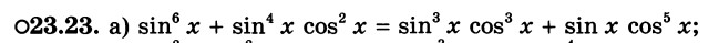
Решите,пожалуйста уравнение

Приложения:

Ответы

Ответ дал: Trover
0
sin^6x+sin^4xcos^2x=sin^3xcos^3x+sin xcos^5x\sin^4x(sin^2x+cos^2x)=sin xcos^3x(sin^2x+cos^2x)\sin^4x=sin xcos^3x\sin^3x=cos^3x\tg^3x=1\tg x=1\x=fracpi4+pi n,;ninmathbb{Z}
Вас заинтересует