• Предмет: Математика
  • Автор: abaytan
  • Вопрос задан 10 лет назад

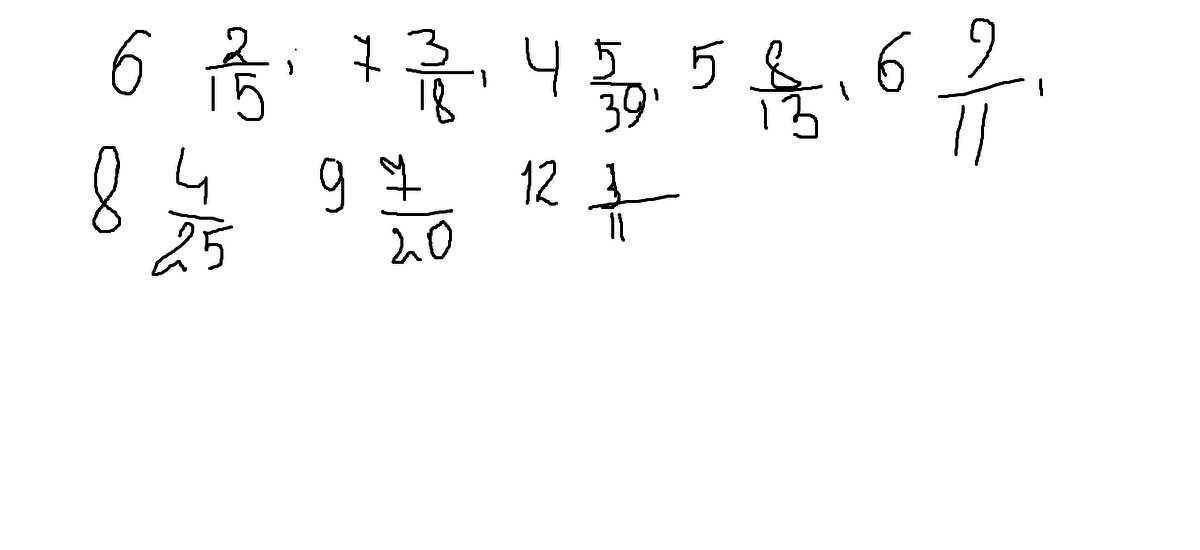
запишите смешанное число в виде неправильной дроби

Приложения:

Ответы

Ответ дал: bonnybentley
0

1) 92/15

2) 129/18
3) 161/39

4) 83/13

5) 75/11

6) 204/25

7) 187/20

8) 135/11

Подробный расчет см. в скрине.

Приложения:
Ответ дал: abaytan
0
спасибооооо
Вас заинтересует