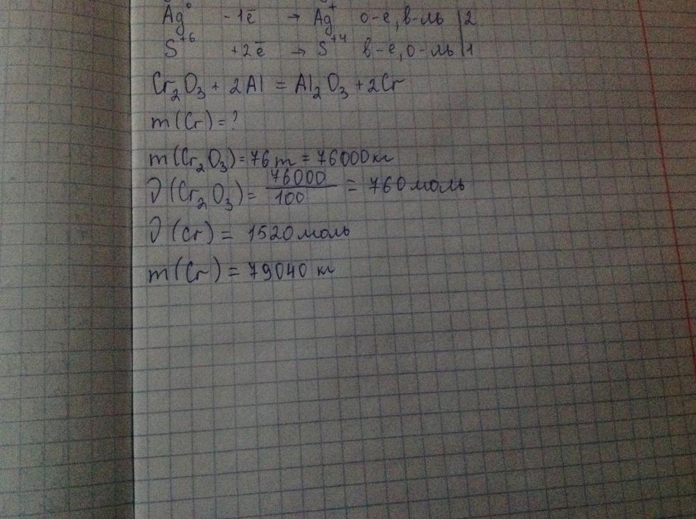
КАКУЮ МАССУ ХРОМА МОЖНО ПОЛУЧИТЬ ИЗ РУДЫ СОДЕРЖАЩЕЙ Cr2O3 МАССОЙ 76 Т. ХРОМ В ПРОМЫШЛЕННОСТИ ПОЛУЧАЕТСЯ ИЗ ФОРМУЛЫ.Cr2O3+2Al=AL2O3+2Cl
Ответы
Ответ дал:
0
смотрите фото во вложении
прошу отметить мой ответ как лучший
прошу отметить мой ответ как лучший
Приложения:

Вас заинтересует
2 года назад
2 года назад
7 лет назад
7 лет назад
10 лет назад
10 лет назад