• Предмет: Алгебра
  • Автор: love99900
  • Вопрос задан 11 лет назад

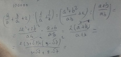
упростите выражение (a/b+b/a+2):(1/a+1/b) и найдите его значение при а=3+корень 7,b=9-корень 7

Ответы

Ответ дал: Сергей2017
0

(а^2+2ab+b^2-a^2+2ab-b^2)(1/a+1/b)=4b+4a

4-4sqrt(7)+12+4sqrt(7)=16

Ответ дал: snezhana9
0

дАЛЬШЕ ПО ФОРМУЛЕ..ЕСЛИ ЧТО-ТО НЕ ПОЛУЧИТСЯ ПИШИТЕ

Приложения:
Вас заинтересует