Ответы
Ответ дал:
0
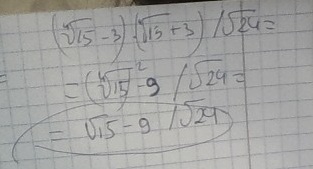
(√√(15-3)*√√(15+3))/√24=√√(216)/√24=√36√6/√24=6⁴√6/2√6=3/⁴√6.
Ответ дал:
0
(√√15-3*√√15+3)/√24 упростить выражение
Приложения:

Вас заинтересует
2 года назад
8 лет назад
8 лет назад
10 лет назад
10 лет назад
10 лет назад