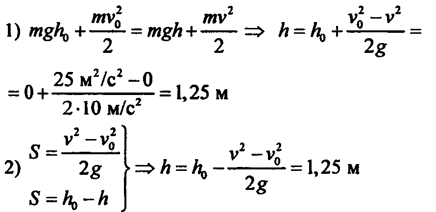
1) Шарик вылетает из детского пружинного пистолета вертикально вверх с начальной скоростью v0 = 5 м/с. На какую высоту от места вылета он поднимется? (Представьте два способа решения: с применением закона сохранения механической энергии и без него; g = 10 м/с2.)
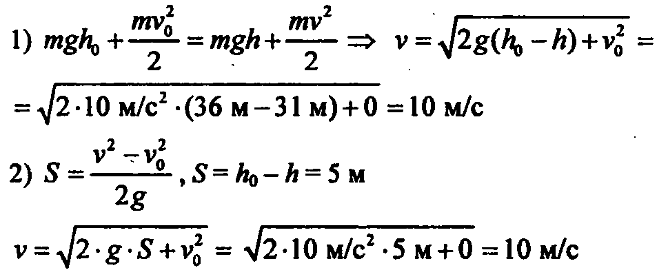
2)Оторвавшаяся от крыши сосулька падает с высоты h0 = 36 м от земли. Какую скорость v она будет иметь на высоте h = 31 м? (Представьте два способа решения: с применением закона сохранения механической энергии и без него; g = 10 м/с2.)
НУЖЕН ТОЛЬКО РИСУНОК,СООТВЕТСТВУЮЩИЙ РЕШЕНИЯМ НИЖЕ К ЭТИМ ЗАДАЧАМ!!!
Приложения:
Ответы
Ответ дал:
0
mgh=mU^2/2 масса сокращается
g*h=u^2/2
h=u^2/2g
h=25/20=2.5 м
g*h=u^2/2
h=u^2/2g
h=25/20=2.5 м
Ответ дал:
0
мне нужны только рисунки,которые соответствуют 1варианту решениея
Вас заинтересует
3 года назад
3 года назад
8 лет назад
8 лет назад
10 лет назад
11 лет назад
11 лет назад