• Предмет: Математика
  • Автор: мальчик11
  • Вопрос задан 10 лет назад

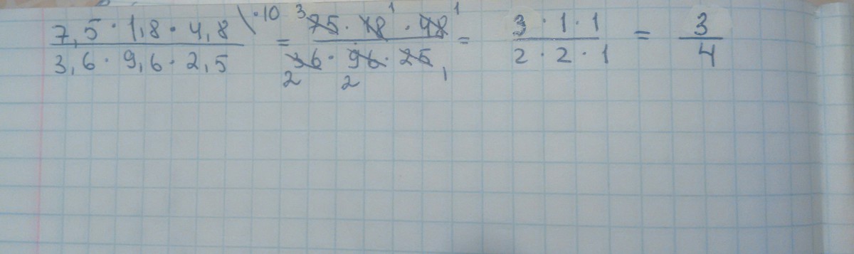
в)7,5* 1,8*4,8 3,6*9,6*2,5 пожалуйста пропорция ответ 3 4 напишите решение

Ответы

Ответ дал: Berndt
0
Избавляемся от запятых, все умножая на 10 и сокращаем.
Приложения:
Ответ дал: мальчик11
0
спасибо ты самый лутший
Вас заинтересует