35 баллов!
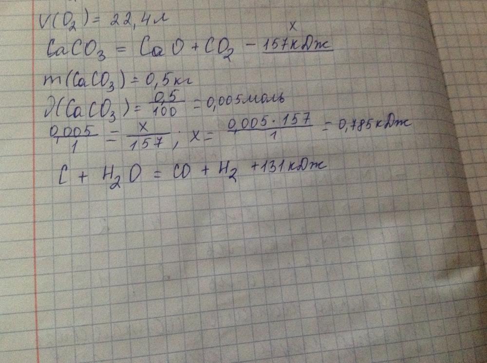
При взаимодействии углерода с водой, образуется карбон оксид и водород. Выделяется теплота, количество 131 кДж. Составьте термохимическое уравнение этого процесса.
Ответы
Ответ дал:
0
смотрите фото во вложении
прошу отметить мой ответ как лучший
прошу отметить мой ответ как лучший
Приложения:

Вас заинтересует
2 года назад
2 года назад
7 лет назад
7 лет назад
10 лет назад
10 лет назад
10 лет назад