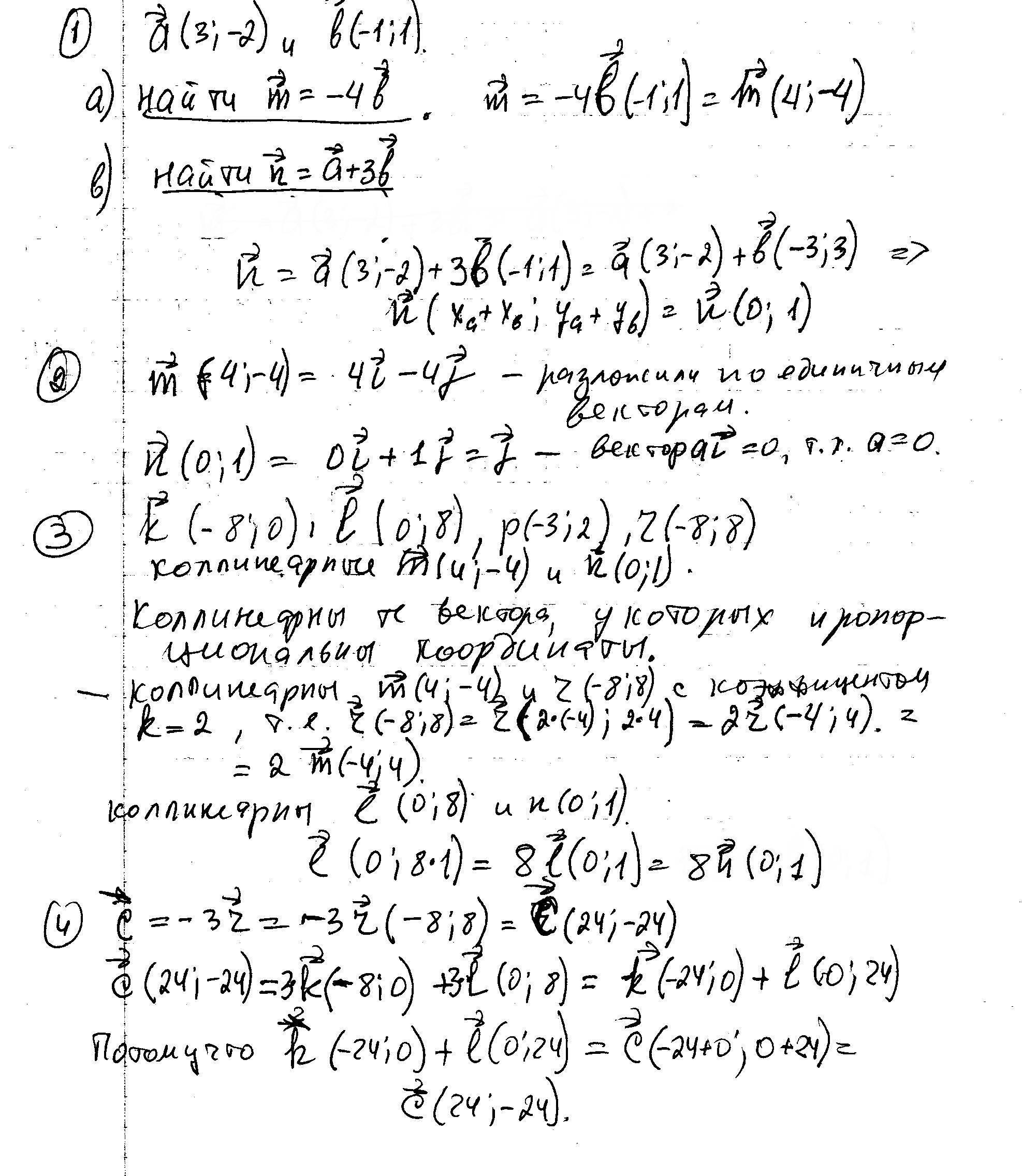
Даны векторы а(3;-2), b(-1;1);
1) Найдите координаты векторов m=-4b, n=a+3b;
2) Разложите векторы m и n по координатным векторам i и j;
3) Найдите среди векторов k(-8;0),j(0;8),p(-3;2),r(-8;8) векторы коллинеарные векторам m и n;
4) Разложите вектор с по векторам k и l, если с=-3r
Ответы
Ответ дал:
0
решение в скане..................
Приложения:

Вас заинтересует
2 года назад
2 года назад
8 лет назад
10 лет назад
10 лет назад
10 лет назад