Запишите в молекулярной и ионной форме уравнения реакции взаимодействия предложенных веществ
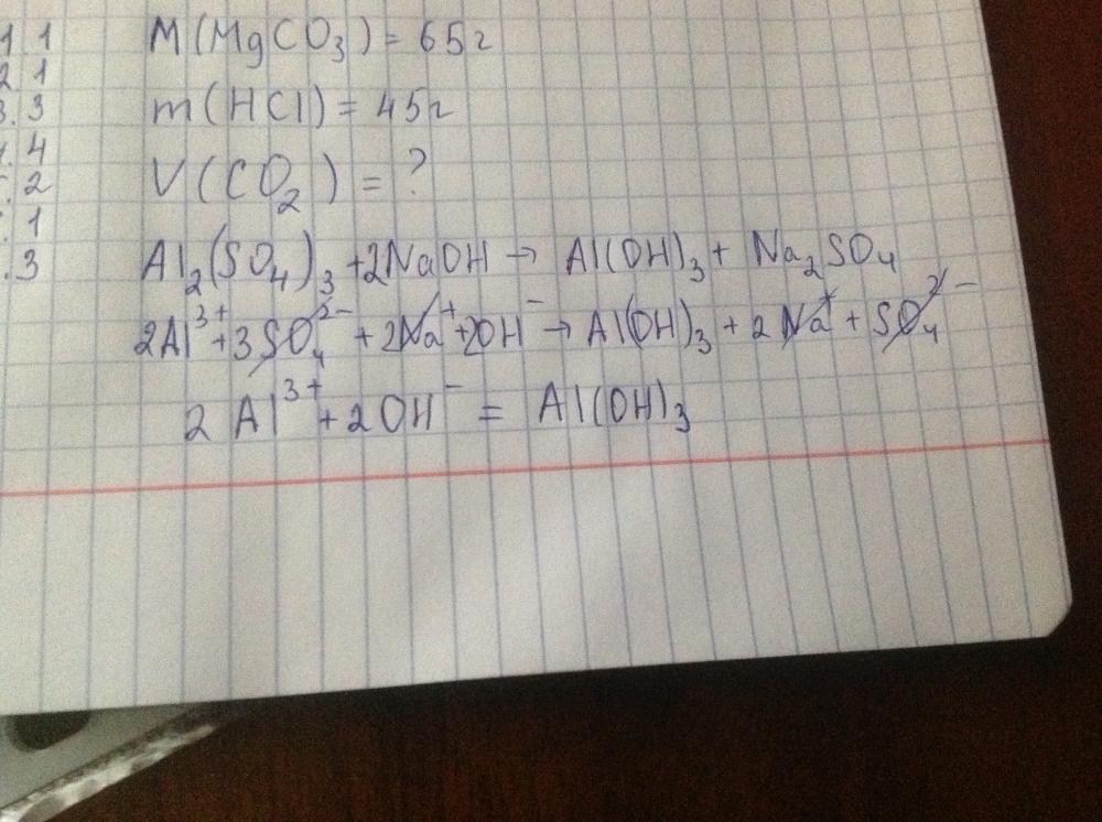
Сульфат алюминия и гидроксид натрия
Гидроксид калия и Сульфат меди
Оксид меди (II) и серная кислота
Ответы
Ответ дал:
0
смотрите фото во вложении
прошу отметить фото во вложении
прошу отметить фото во вложении
Приложения:
Вас заинтересует
3 года назад
3 года назад
8 лет назад
8 лет назад
10 лет назад
10 лет назад
11 лет назад