Пожалуйста, помогите с химией.
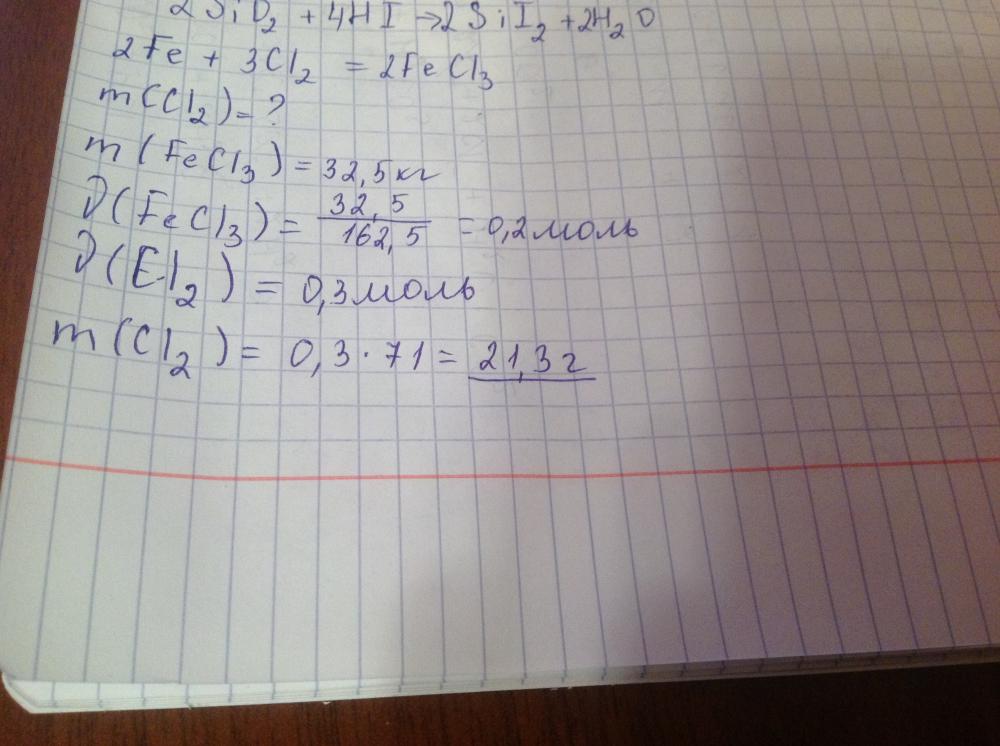
Определите массу хлорид-ионов, содержащихся в 32.5 кг хлорида железа(III)
Ответы
Ответ дал:
0
смотрите фото во вложении
прошу отметить мой ответ как лучший если не трудно
прошу отметить мой ответ как лучший если не трудно
Приложения:
Вас заинтересует
3 года назад
3 года назад
8 лет назад
8 лет назад
10 лет назад
10 лет назад