• Предмет: Физика
  • Автор: НяшКа02
  • Вопрос задан 10 лет назад

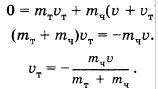
на покоящейся тележке массой 300 кг находится человек массой 70 кг. какова будет скорость тележки относительно земли если человек пойдет по тележке со скоростью 1 м/с относительно тележки?

Ответы

Ответ дал: shef140497
0
Подставь цифры и дорешай.
Приложения:
Вас заинтересует