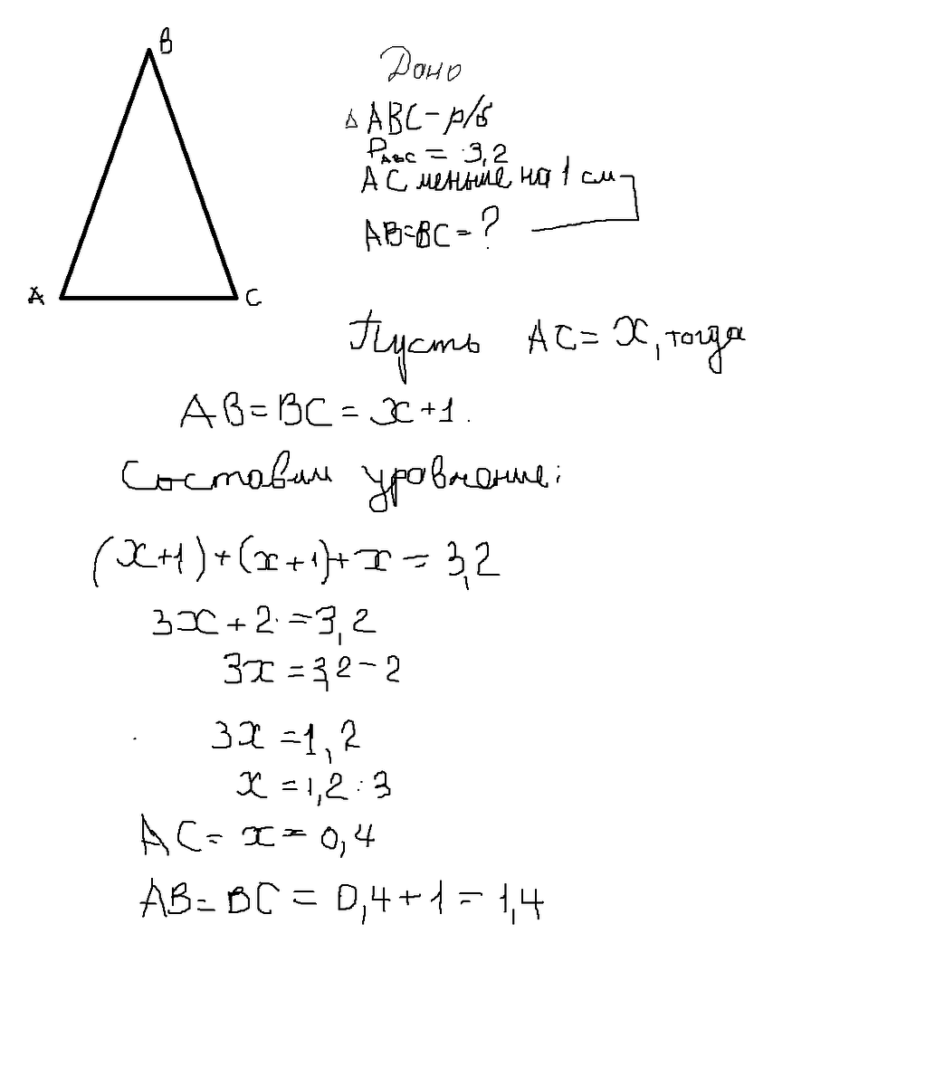
Перисетр равнобедренного треугольника равен 3,2 м, основание меньше боковой стороны на 1 м. Найдите стороны.
Ответы
Ответ дал:
0
решение в приложенном файле
Приложения:




Ответ дал:
0
А ты пиши ,что смогу сделаю
Ответ дал:
0
1)Один из внутренних односторонних углов, образованных при пересечении двух параллельных прямых третьей прямой, больше другого на 32°. Чему равны эти углы?
Ответ дал:
0
2) Отрезки АВ и СD пересекаются в точке О так, что < АСО=< ВDO, CO=DO. Докажите, что < CAO=< DBO
Ответ дал:
0
&|t - это значок угла
Ответ дал:
0
Смотри в предыдущей задаче
Вас заинтересует
10 лет назад