Нужно свести уравнения к квадратным и решить их:
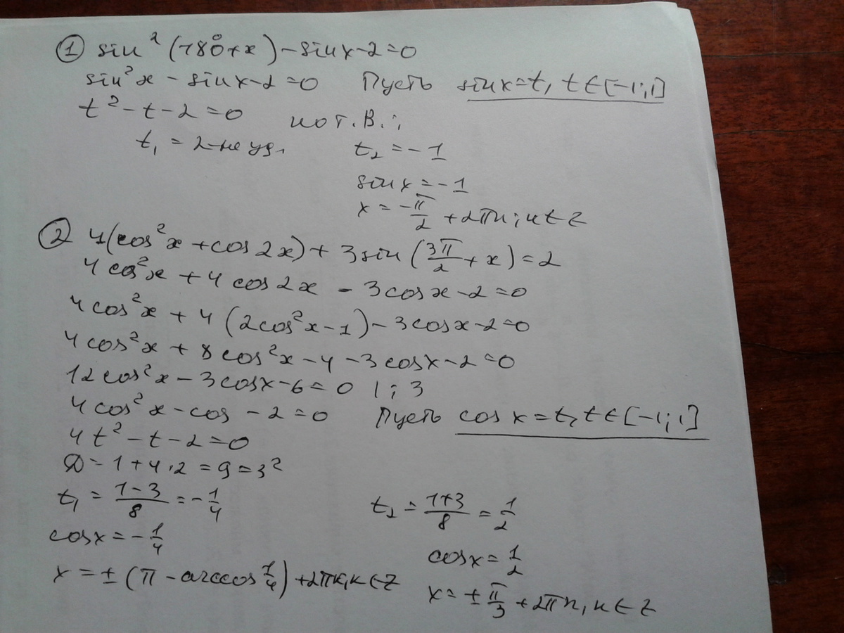
1) sin^2(180+x)-sinx-2=0
2) 4(cos^2x+cos2x)+3sin(3/2пи+x)=2
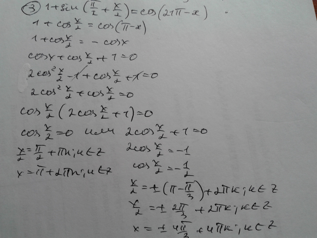
3 1+sin(пи/2+x/2)=cos(21пи-x)
Ответы
Ответ дал:
0
Всё решаем по формулам.......
Приложения:


Ответ дал:
0
Спасибо огромное!
Вас заинтересует
2 года назад
2 года назад
7 лет назад
10 лет назад
10 лет назад
10 лет назад