• Предмет: Алгебра
  • Автор: Аноним
  • Вопрос задан 11 лет назад

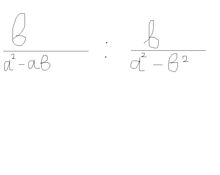
Упростите выражение (на картинке) и найдите его значение при а=-0,7,b=2,1

Приложения:

Ответы

Ответ дал: lllytep
0

b*(a^2 - b^2)/(a^2 - a*b)*b = (a-b)*(a+b) / a*(a-b) = (a+b)/a

 

(0.7+2.1)/0.7 = 4

Ответ дал: Icansmile
0

b/a^2-ab : b/a^2-b^2

переворачиваем вторую дробь,получается:

b*a^2-b^2 все делить на a^2-ab*b

 

сокращаем b,a^2 и там и там

 

получается:

-b^2 делить на -ab

при а=-0,7,b=2,1

-2,1*(-2,1)=4,41

0,7*2,1=1,47

делим:

4,41:1,47=3

тоже самое

 

Вас заинтересует