• Предмет: Алгебра
  • Автор: ViktoriaLeve
  • Вопрос задан 10 лет назад

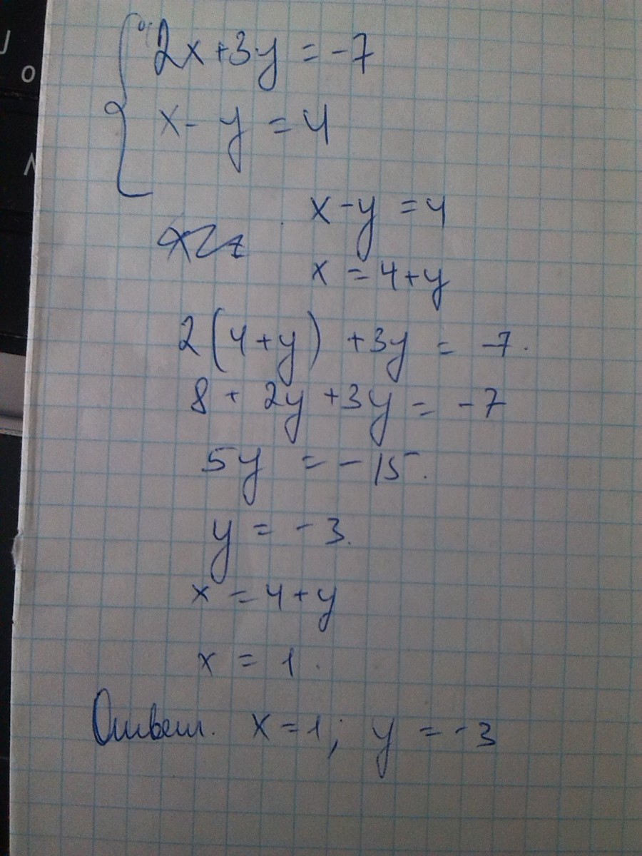
Решите систему уравнения
2х+3у=-7
Х-у=4
Пожалуйста:)

Ответы

Ответ дал: dashaokeina
0
если разобраться, то это очень легко))

Приложения:
Ответ дал: dashaokeina
0
добавила в решение)
Ответ дал: timon4567
0
блин у меня телефон
Ответ дал: ViktoriaLeve
0
Большое спасибо за ответ:) я хоть половину заданий зделала:))
Ответ дал: dashaokeina
0
у тебя контрольная что ли?
Ответ дал: ViktoriaLeve
0
Нет, дз дали на карточке)
Вас заинтересует