Ответы
Ответ дал:
0
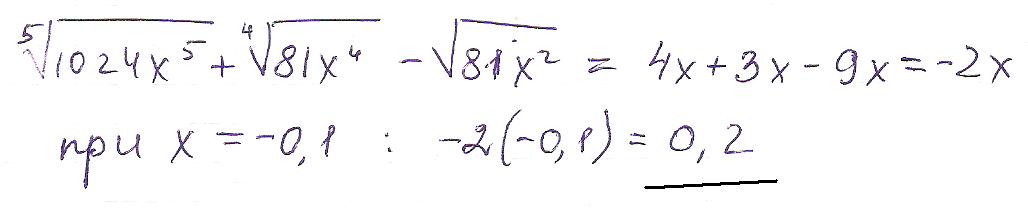
при данном значении х, ответ будет 0,2
Приложения:

Ответ дал:
0
1024=4 в 5 степени
81=3 в 4 степени
81= 9 в 2 степени
Выносим х из скобки получаем ч(5 корней из 4^5+4 корня из 3^4-корень из 9^2)=
x(4+3-9)=0,2
Приложения:

Вас заинтересует
2 года назад
2 года назад
8 лет назад
10 лет назад
10 лет назад
10 лет назад