• Предмет: Алгебра
  • Автор: mmatveev889
  • Вопрос задан 3 года назад

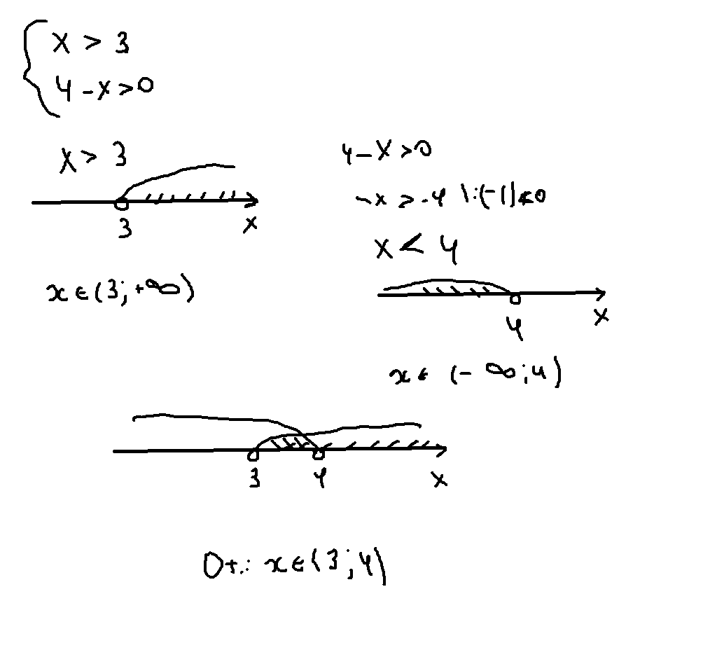
Решите систему неравенств х>3 и 4-х>0

Ответы

Ответ дал: Squirrel9929
21
20 дурацких символов 
Приложения:
Вас заинтересует