Ответы
Ответ дал:
0
.......................................
Приложения:

Ответ дал:
0
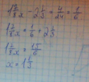
1 7/8х - 2 1/3 = 4/24; (4/24 = 1/6)
1 7/8х = 2 1/3 + 1/6; (1 7/8 = 15/8; 2 1/3 = 7/3)
15/8х = 7/3 + 1/6
15/8х = (14 +1) / 6;
15/8х = 15/6
х = 15/6 : 15/8
х = 8/6
х = 1 2/6 ( 1 2/6 = 1 1/3)
х = 1 1/3
1 7/8х = 2 1/3 + 1/6; (1 7/8 = 15/8; 2 1/3 = 7/3)
15/8х = 7/3 + 1/6
15/8х = (14 +1) / 6;
15/8х = 15/6
х = 15/6 : 15/8
х = 8/6
х = 1 2/6 ( 1 2/6 = 1 1/3)
х = 1 1/3
Приложения:

Вас заинтересует
7 лет назад
10 лет назад
10 лет назад