• Предмет: Алгебра
  • Автор: marinakorolenk
  • Вопрос задан 10 лет назад

помогите пожалуйста решить уравнение)

Приложения:

Ответы

Ответ дал: zhtifq
0
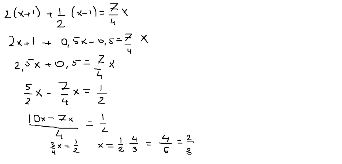
Вот так походу должно быть.
Приложения:
Ответ дал: marinakorolenk
0
спасибо тебе)
Ответ дал: ololowa400
0
По моему не так
Ответ дал: marinakorolenk
0
а по твоему как?)
Ответ дал: ololowa400
0
В общем как то так, что правильно решать уже вам)
Приложения:
Ответ дал: marinakorolenk
0
ага,спасибо)
Ответ дал: ololowa400
0
Удачи с решениями :)
Вас заинтересует