• Предмет: Алгебра
  • Автор: Аноним
  • Вопрос задан 10 лет назад

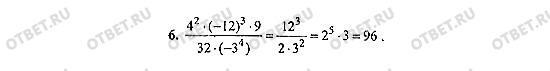
как получилось два в третьей степени умножить на три

Приложения:

Ответы

Ответ дал: nafanya2014
0
см. приложение
===============
Приложения:
Вас заинтересует