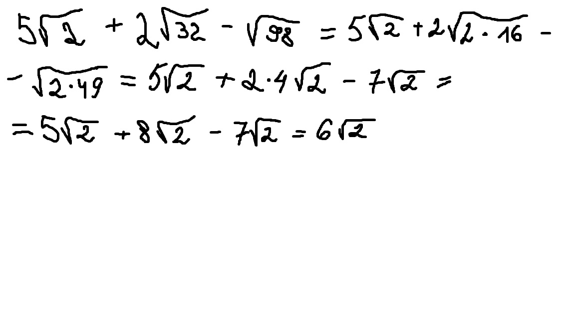
Упростите выражение: пять корень из двух плюс два корень из тридцати двух минус корень из девяноста восьми
Ответы
Ответ дал:
0
Ответ: шесть корней из двух.
*Решение во вложении*
*Решение во вложении*
Приложения:
Вас заинтересует
2 года назад
2 года назад
8 лет назад
8 лет назад
10 лет назад
11 лет назад