Расставить коэффициенты в
уравнениях методом электронного
баланса:
1) Sn+H2SO4(конц.)→Sn(SO4)2+SO2+H2O;
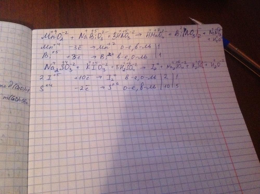
2) MnO2+NaBiO3+HNO3→HMnO4+Bi
(NO3)3+NaNO3+H2O;
3)
Na2SO3+KIO3+H2SO4→I2+Na2SO4+K2SO4+
H2O
Ответы
Ответ дал:
0
смотрите фото во вложении
прошу отметить мой ответ как лучший если не трудно
прошу отметить мой ответ как лучший если не трудно
Приложения:


Вас заинтересует
7 лет назад
7 лет назад
10 лет назад
10 лет назад
10 лет назад