• Предмет: Алгебра
  • Автор: xline
  • Вопрос задан 10 лет назад

Пожалуйста, помогите срочно решить!

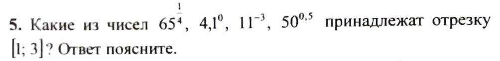
Какие из чисел 65^1/4, 4,1^0, 11^-3, 50^0,5 принадлежат отрезку [1;3]? Ответ поясните.

Мой ответ: 65^1/4(~2,84). Остальные не принадлежат, т.к: 4,1^0=0, 11^-3=0,0011, 50^1/2>3

Приложения:

Ответы

Ответ дал: Rechnung
0
................................................
Приложения:
Вас заинтересует