• Предмет: Математика
  • Автор: pmeen
  • Вопрос задан 10 лет назад

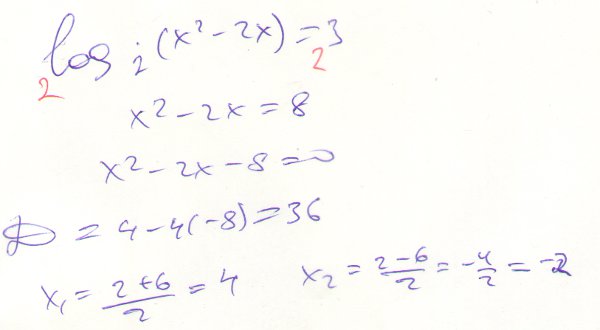
Log2(x^2-2x)=3 помогите решиттъ

Ответы

Ответ дал: shogunuz
0
Вот и решение вашей задачи.
Приложения:
Вас заинтересует