• Предмет: Геометрия
  • Автор: pavlik555
  • Вопрос задан 10 лет назад

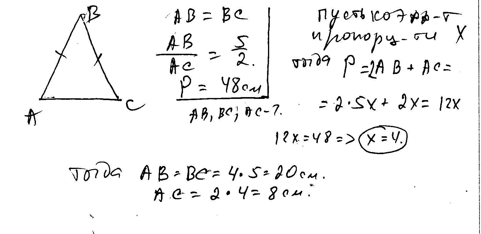
в равнобедреном треугольнике с периметром 48 сантиметров боковая сторона относится к основанию как 5:2 найдите стороны треугольника

Ответы

Ответ дал: ужнеужели
0
решение в скане................
Приложения:
Вас заинтересует