Ответы
Ответ дал:
0
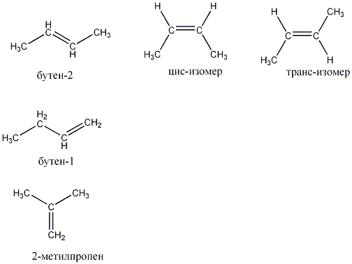
Структурные формулы веществ , соответствующих формуле C4H8
См. вложение
Приложения:
Ответ дал:
0
структурные формулы веществ , соответствующих формуле C4H8
Приложения:

Вас заинтересует
2 года назад
8 лет назад
10 лет назад
10 лет назад