• Предмет: Алгебра
  • Автор: danilovaxen
  • Вопрос задан 11 лет назад

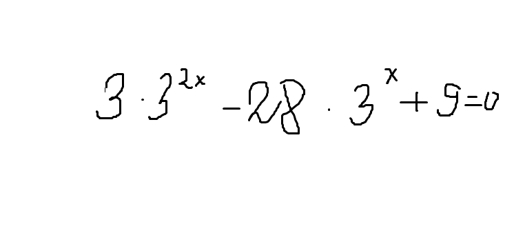
показательные уравнения. во вложениях

Приложения:

Ответы

Ответ дал: ATLAS
0

3*3^{2x}-28*3^{x}+9=0

t=3^{x}

3t^{2}-28t+9=0

D=676

t_{1}=9=3^{2}, t_{2}=1/3=3^{-1}

3^{x}=3^{2}, x=2

3^{x}=3^{-1}, x=-1

 

Ответ: -1 и 2

 

Вас заинтересует