• Предмет: Химия
  • Автор: uchenick0
  • Вопрос задан 10 лет назад

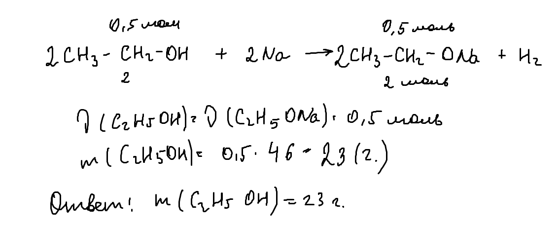
Сколько этанола (по массе) вступило в реакцию с металлическим натрием, если в результате получили 0.5 моль этилата натрия?

Ответы

Ответ дал: mydrec
0
Ответ: m(c2h5oh)=23 г.
Приложения:
Вас заинтересует