Ответы
Ответ дал:
0
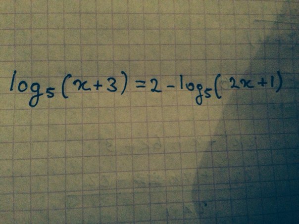
x+3>0 U 2x+1>0⇒x>-3 U x>-1/2⇒x>-0,5
log(5)(x+3)+log(5)(2x+1)=2
(x+3)(2x+1)=25
2x²+x+6x+3-25=0
2x²+7x-22=0
D=49+176=225
x1=(-7-15)/4=-5,5 не удов усл
x2=(-7+15)/4=2
log(5)(x+3)+log(5)(2x+1)=2
(x+3)(2x+1)=25
2x²+x+6x+3-25=0
2x²+7x-22=0
D=49+176=225
x1=(-7-15)/4=-5,5 не удов усл
x2=(-7+15)/4=2
Ответ дал:
0
ОДЗ:
2x+1>0
x>-0.5

x₂ - не входит в ОДЗ.
Ответ: x=2
2x+1>0
x>-0.5
x₂ - не входит в ОДЗ.
Ответ: x=2
Вас заинтересует
3 года назад
8 лет назад
8 лет назад
10 лет назад
10 лет назад
11 лет назад