• Предмет: Химия
  • Автор: ЛеруняЛера
  • Вопрос задан 10 лет назад

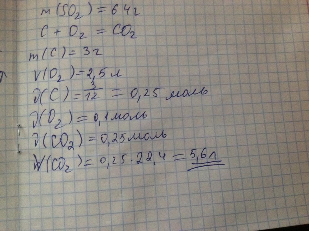
Вычислить объём углекислого газа, который образуется из 3 г углерода и 2.5 л кислорода.
Плиз, желательно с решением.

Ответы

Ответ дал: ФаинаМорзе
0
смотрите фото во вложении 
Приложения:
Ответ дал: ЛеруняЛера
0
спасибки))
Ответ дал: ФаинаМорзе
0
обращайтесь
Ответ дал: ЛеруняЛера
0
=)
Вас заинтересует