• Предмет: Алгебра
  • Автор: sasha260798
  • Вопрос задан 10 лет назад

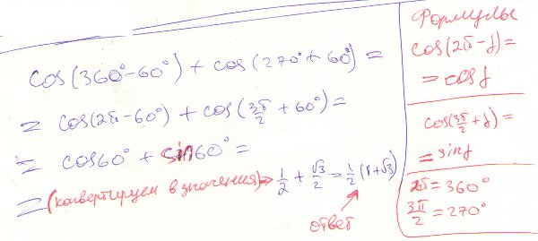
cos((360 – 60)°) + cos((270 + 60)°)

Ответы

Ответ дал: shogunuz
0
Вот решение данного примера:

Приложения:
Вас заинтересует