В реакцию с сульфатной кислотой вступил магний массой 6г. Вычислите:А) количество вещества сульфатной кислоты, вступившее в реакцию.Б)объм выделившегося водорода.В) массу образовавшейся соли.
Ответы
Ответ дал:
0
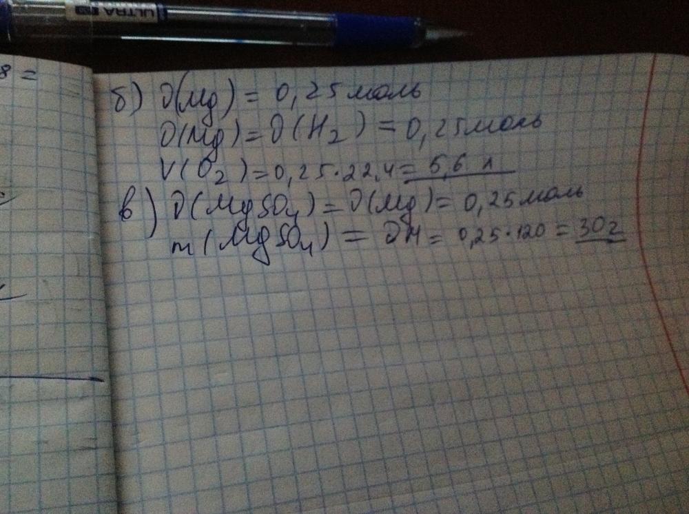
смотрите фото во вложении
прошу отметить мой ответ как лучший если не трудно
прошу отметить мой ответ как лучший если не трудно
Приложения:


Ответ дал:
0
Огромное спасибо,обязательно отмечу!
Ответ дал:
0
обращайтесь)
Вас заинтересует
2 года назад
2 года назад
7 лет назад
10 лет назад
10 лет назад
10 лет назад