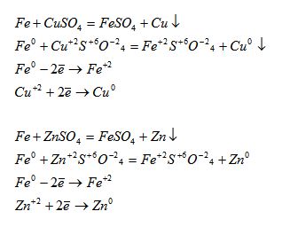
Fe+CuSO4=FeSO4+Cu
Fe+ZnSO4= ?
Решите второй , расставите коэффициенты и степень окисления
Для обоих сделайте реакцию как ОВР
Ответы
Ответ дал:
0
Написала в программе...Надеюсь, понятно...
Приложения:

Ответ дал:
0
огромное спасибо
Ответ дал:
0
Пожалуйста
Ответ дал:
0
8 класс?
Ответ дал:
0
9 !
Ответ дал:
0
Ясно, обращайся...
Вас заинтересует
2 года назад
2 года назад
7 лет назад
7 лет назад
10 лет назад
10 лет назад
10 лет назад