Ответы
Ответ дал:
0
Не уверена, но вроде так.
Приложения:

Ответ дал:
0
большое спасибо. прости. что у вас написано в ответе, а то я не совсем поняла что там за буковки)
Ответ дал:
0
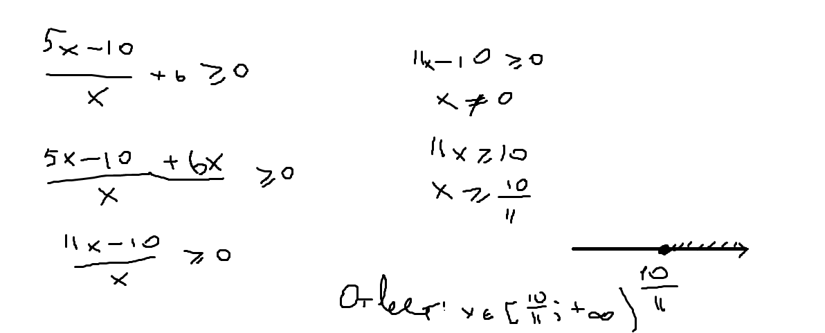
х принадлежит [10/11 ; + бесконечности)
Ответ дал:
0
спасибо большое)))
Вас заинтересует
2 года назад
2 года назад
10 лет назад
10 лет назад
10 лет назад
10 лет назад