Ответы
Ответ дал:
0
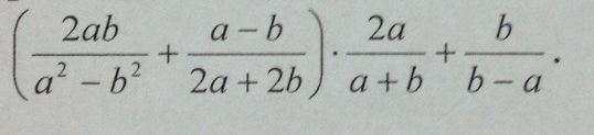
Вот.Насчет правильности не уверен.
Приложения:

Ответ дал:
0
Ну а с чего ты в ответе единицу-то пририсовал?
Ответ дал:
0
А, фак, это ты после решения ответ написал. Мучо пардониссимо :D
Вас заинтересует
2 года назад
2 года назад
7 лет назад
10 лет назад
10 лет назад
10 лет назад