• Предмет: Физика
  • Автор: Аноним
  • Вопрос задан 10 лет назад

ПОЖАЛУЙСТА, ОБЪЯСНИТЕ ФОРМУЛУ.

Приложения:

Ответы

Ответ дал: hasan
0
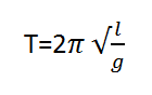
эта формула для вычисления периода колебаний математического маятника,где l-длина маятника,а g ускорение свободного падения=10м/с^2.из этой формулы следует что период колебаний математического маятника не зависит от массы маятника,а зависит от его длины и широты местности.
Вас заинтересует