• Предмет: Алгебра
  • Автор: Alenacat00
  • Вопрос задан 10 лет назад

Помогите решить пример по алгебре (4√3+√27)×√3 . Желательно подробно. Очень нужно.

Ответы

Ответ дал: askadelya123
0
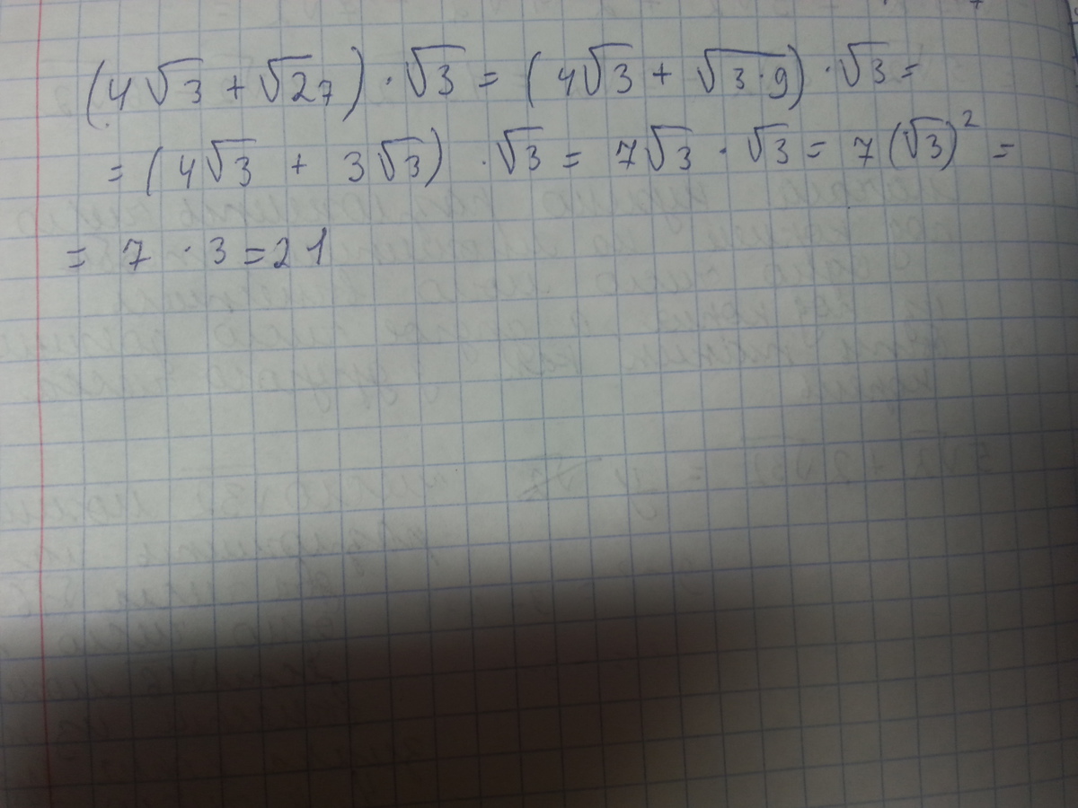
(4√3+√27)*√3=(4√3+3√3)*√3=7√3*√3=21
Ответ дал: Kasea
0
посмотри на фотографии там все подробно написано
Приложения:
Ответ дал: Kasea
0
я тебе не могу фото отправить потому что я тебе пишу в комментариях
Ответ дал: Alenacat00
0
Я задала вопрос, посмотри, может найдёшь меня.
Ответ дал: Kasea
0
ок
Ответ дал: Kasea
0
нет не могу найти
Ответ дал: Alenacat00
0
Сейчас напишу
Вас заинтересует